高考分数专科与本科排名的差异
高考分数在专科与本科排名上存在显著差异,专科排名主要聚焦于当前学科的水平,而学校的教学质量、科研成果和师资力量等因素的考量相对较少,相比之下,本科排名则更为全面,除了学科水平外,还综合考虑了学校的综合实力、教学质量、科研水平、社会声誉等因素,因此其权威性更高,本科排名还特别关注研究生教育情况、校友捐赠以及国际化程度等指标,为考生提供了更为全面的参考。

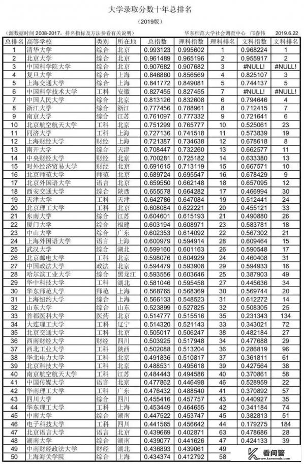
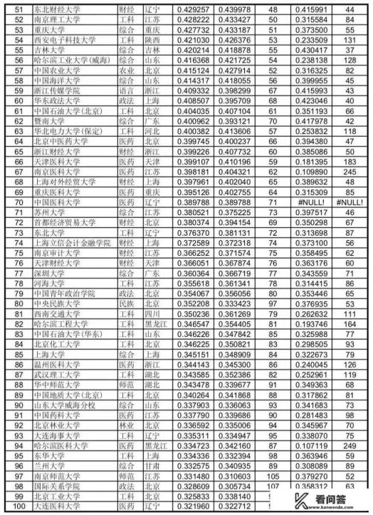
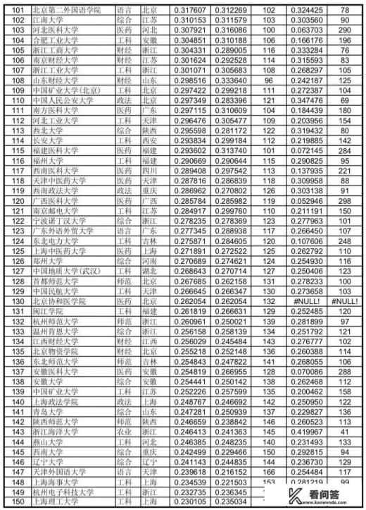
随着高考录取工作的逐步展开,各高校的录取分数线已陆续公布,虽然目前部分省份的分数线已经出炉,但2019年的中国大学录取分数排行榜尚未最终确定,考生们还需耐心等待,直到所有录取工作结束,才能见分晓。
回顾过去十年的大学录取分数线总排名,我们可以发现一些规律和趋势,清华、北大作为国内顶尖学府,其录取分数线一直稳居前列,而在某些省份甚至仅有一分之差,中国科学院大学虽然不是“双一流”高校,但其强大的实力和仅面向部分省份的招生策略使其录取分数线高居第三位,华东五校(复旦、上交、中科大、浙江大学、南京大学)以及中国人民大学和北航等高校,也因其卓越的学术实力和专业特色而备受考生青睐。

财经类特色行业高校如“两财一贸”以及北京外国语大学等语言类大学也因其特殊的地理位置和热门专业而备受关注,上海纽约大学作为中美合作国际化的综合性大学,其面向全球招生的策略也使其录取分数线较高,而上海海关学院等双非院校也因其特殊的性质和较高的就业率而受到考生的青睐。
虽然排名仅供参考,但考生在填报志愿时仍需结合自身实际情况和各高校的招生政策进行综合考虑,祝愿所有考生都能金榜题名!

0
