2021深圳现史上更大室第供给量!有一套属于你的吗?
源于半山楼市
深圳事实还有几室第用地待开发?
深圳市规划和天然资本局最新公布了“深圳市存量室第用地信息”(截至2020年12月31日)。
图片
据深圳市规划和天然资本局官网披露:截至2020年12月31日,深圳存量宅地共有442个,总面积970.78公顷。
此中未开工地盘面积348.11公顷(348.11万平方米),已开工地盘面积622.87公顷(622.87万平方米),此中已开工未销售地盘面积为307.74公顷(307.74万平方米)。
图片
据统计,福田区存量宅地项目共有25个、罗湖区19个、南山区36个、前海6个、盐田区23个、宝安区76个、龙岗区92个、龙华区57个、
坪山区28个、光亮区57个、大鹏新区23个。
图片
将来宅地供给量更大的4个区是:龙岗区92个、宝安区76个、龙华区和光亮区均为57个。
看完上述数据,可能你还没有太多感触感染,但从汗青数据来看,深圳正在迎来史上更大建房方案:
开工622.87万平方米,2021年室第供给翻倍2021年8万多套房子要来了!
截至2020年12月31日,深圳已开工地盘面积622.87万平方米,若是根据2.0容积率计算,则意味着至少有1200万平方米房子已开工。
而据官方透露:2021年将有至少8.5万套房!纵不雅过去10年成交量:2021年的室第供给量足以缔造一个新的成交纪录,并有效地不变房价。
随时掌握深圳新盘动态,V信搜刮存眷公家号“深房臻选”,参加深圳人的买房交换圈!
如图:
深圳二手房成交回暖,2021年首周网签环比上涨超100%?
图片
从深圳存量宅地970.78万平方米总面积(假设容积率为2,则至少约20万套房)来看,若是2021年全数开工,那意味着:深圳史上更大建房方案已经来了。
从数据来看,深圳2002-2006年成交量较大,别离为:724万平方米、812万平方米、 820万平方米、901万平方米、706万平方米。
图片
2020年栖身用地方案供给量和现实供给量均为历年更高!
2020年12月16日,深圳市集中出让最初3宗宅地,总面积约22万㎡,总成交金额达42.73亿元。
此中,福田、龙岗两宗地均是更高限造地价成交。此中,福田宅地建立为可售型人才住房,其余2宗建立为通俗商品住房。
在最新出让的三宗用地中,福田、龙岗两宗地均接纳“双限双竞”体例挂牌出让,深汕出格合做区宗地接纳“单限双竞”体例挂牌出让。
2020年全市栖身用地方案供给293.2公顷,截至12月17日现实供给357.03公顷,完成方案的121.77%。此中新供给196公顷,更新整备供给140.49公顷,棚户区革新供给9.28公顷,其他(含工改保)供给11.26公顷。
2020年栖身用地的方案供给量和现实供给量均为历年更高。
图片
2020年8月20日,市住房建立局组织召开了《深圳市住房开展“十四五”规划》人大代表、政协委员专题座谈会。
据深圳住建局透露:将来,深圳的住房构造将是60%的公共住房加上40%的商品住房;到2035年,将建立170万套住房。
442个存量室第清单曝光
以下是各区存量室第用地项目清单:
福田区
福田区存量宅地项目共有25个,此中香蜜湖街道7个,福田街道3个,莲花街道4个,梅林街道3个,沙头街道4个,华富街道3个,福保街道1个。
此中商品房用地项目19个,公租房用地项目5个,未知用地项目1个。
福田区已开工,即将入市的项目有:海德园A区、B区,天健天骄南苑、北庐、西筑,皇庭公馆,安托山片区13-01地块,合正置地大厦,湾尚庭玺家园、骏玺家园,富通·九曜公馆,上梅林雅苑,上沙村城市更新项目等。
图片
图片
罗湖区
罗湖区存量宅地共有19个,此中桂园街道2个,翠竹街道5个,东晓街道3个,莲塘街道5个,笋岗街道2个,清水河街道2个。
此中商品房用地16个,公租房用地3个。
罗湖区已开工,即将入市的项目有:实地剑兰郡,京基水贝洪湖苑,独树阳光里,翠苑家园,东海富汇豪庭,缙山府,恒大天玺公馆,笋岗城市更新单位,华富村旧改项目,木头龙城市更新项目,东立片区城市更新单位等。
图片
南山区
南山区存量宅地共有36个,此中南山街道5个,西丽街道4个,蛇口街道1个,粤海街道4个,沙河街道4个,桃源街道9个,招商街道2个,南头街道7个。
此中商品房用地33个,公租房用地3个,共有产权房用地1个。
南山区已开工,即将入市的项目有:海境界家园二期,华润城润玺二期,深铁懿府,深铁阅山境花园,深业鹤塘岭花园,汇城茗苑,正东名苑,汉园茗苑,临海揽山御园,远洋天著华府,鸿荣源尚璟公馆等。
图片
图片
图片
前海合做区
前海合做区存量宅地共有6个,此中桂湾1个,妈湾3个,前湾1个,商品房龙海家园还有12.01公顷未销售用地。
前海合做区已开工,即将入市的项目有:龙海花园,前海天境花园等。
图片
盐田区
盐田区存量宅地共有23个,此中盐田街道15个,梅沙街道3个,海山街道2个,沙头角街道3个。
此中商品房用地17个,公租房用地3个,共有产权房用地3个。
盐田区已开工,即将入市的项目有:御景佳园四期、五期,星都·梅沙天邸,心海天誉府,卓越荣津瀚海湾名庭,山海四时二期华府,鹏瑞南区尚府、北区尚府等。
图片
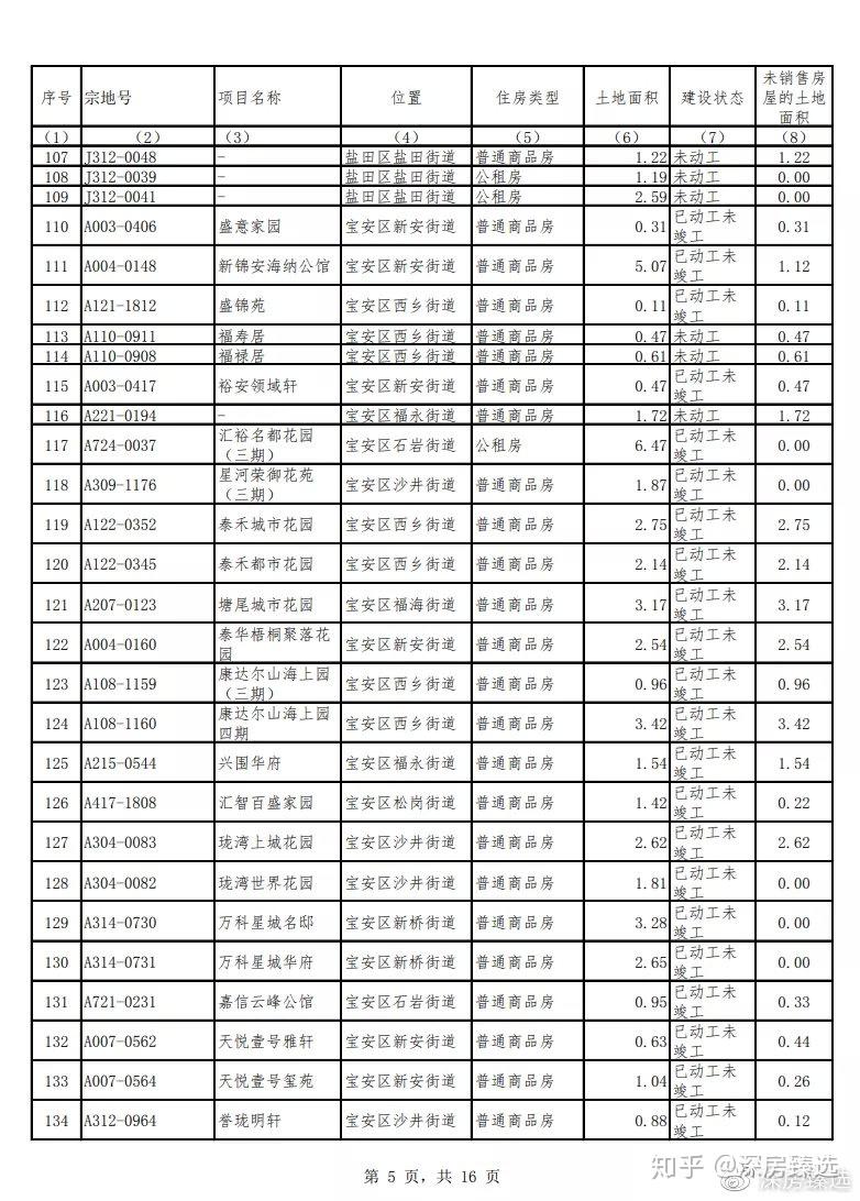
宝安区
宝安区存量宅地共有76个,此中新安街道12个,西乡街道16个,福永街道6个,松岗街道8个,沙井街道9个,新桥街道10个,石岩街道4个,福海街道3个,燕罗街道3个,航城街道5个。
此中商品房用地66个,公租房用地4个,租赁型商品房用地1个,共有产权房用地5个。
宝安区已开工,即将入市的项目有:盛意家园,新锦安海纳公馆,盛锦苑,裕安范畴轩,星河荣御花苑三期,泰禾城市花园、都会花园,塘尾城市花园,泰华梧桐聚落花园,康达尔山海上园三期、四期,兴围华府,汇智百盛家园,珑湾上城花园、世界花园,万科星城名邸、星城华府,嘉信云峰公馆,天悦壹号雅轩、玺苑,誉珑明轩、名苑、荟庭、豪轩,河东骏濠园,清平华府,西湾海岸公馆,泰福名苑,万丰海岸城锦园、珑园、玺园、珺园、瑧园,富士君悦府,四时名苑,招商臻府,玖玖颂阁,尖岗山壹号花园,嘉富宝禧花园,联投东方世家花园,宏发新范畴花园,盛合天宸家园,恒兴御景园,越秀和樾府,松风明月花园,万科大城市家园,满京华云著雅庭、华庭;佳兆业樾伴山花园,御品峦山花园等。
图片
图片
图片
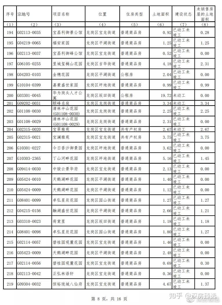
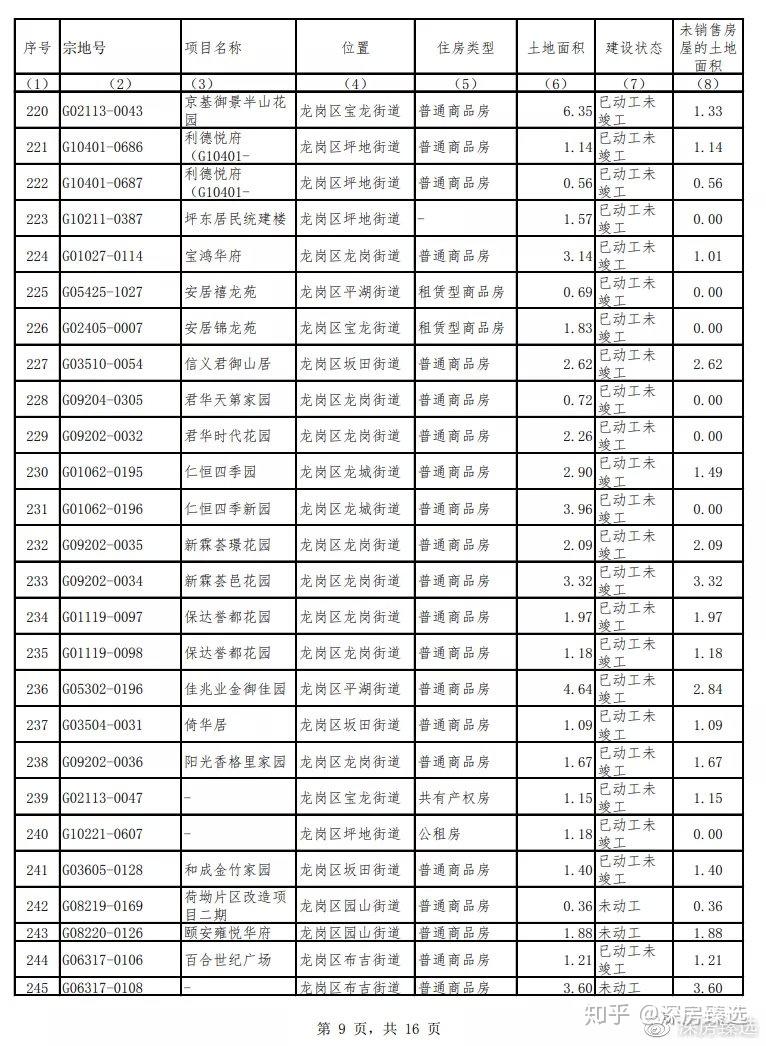
龙岗区
龙岗区存量宅地共有92个,此中横岗街道2个,布吉街道5个,龙岗街道24个,平湖街道12个,宝龙街道15个,吉华街道3个,坪地街道7个,坂田街道13个,园山街道7个。
此中商品房用地76个,公租房用地4个,租赁型商品房用地2个,共有产权房用地8个,其他用地2个。
龙岗区已开工,即将入市的项目有:颐安城市中央花园,信义荔景御园,颐璟名庭,颐翠名庭,昊龙华庭,宝昌利御景公馆、御峰公馆,福安家园,里城玺樾山花园,嘉豪盛世家园,颐峰名庭,清林半山花园,今日香沙御景园,丁山河畔花园,特发天鹅湖畔花园,卓弘星辰花园,融湖盛世花园,荷棠里,碧桂园不雅麓花园,正弘林语轩,恒裕珑城八仙府,京基御景半山花园,利德悦府,宝鸿华府,信义君御山居,君华天第家园,君华时代花园,仁恒四时园、四时新园,新霖荟璟花园、荟邑花园,保达誉都花园,佳兆业金御家园,倚华居,阳光香格里家园,和成金竹家园,百合世纪广场,中海阳光橡树园,招商臻城花园等。
图片
图片
图片
图片
龙华区
龙华区存量宅地共有57个,此中龙华街道有9个,不雅湖街道有8个,民治街道有23个,大浪街道有6个,不雅澜街道有4个,福城街道有6个。
此中商品房用地46个,公租房用地5个,租赁型商品房用地1个,共有产权房用地5个。
龙华区已开工,即将入市的项目有:华盛珑悦花园,奥宸不雅壹城华府,未央花园,深国际万科和雅轩,盛璟润府,万福花园,壹成超体花园,锦顺名居,民治简上老屋村更新单位,壹成时代花园二期,丰富懿园,安宏基星曜广场,云珑府,恒壹四时华府,御景华府,辰祥公馆,钟氏电子工业区城市更新单位,中城宴华府,龙光玖誉府,大浪街道龙胜旧村片区城市更新项目,春江天玺阁,龙光玖悦台,山川华庭,中海汇德理花园,澜汇城泱花园,北宸之光家园,万科启城家园等。
图片
图片
坪山区
坪山区存量宅地共有28个,此中坑梓街道2个,碧岭街道6个,马峦街道7个,龙田街道7个,坪山街道6个。
此中商品房用地24个,公租房用地2个,共有产权房用地2个。
坪山区已开工,即将入市的项目有:碧湖春天东花园、南花园、北花园,方曲谷仓府、谷仓居,中海万锦熙岸华庭,G13302-8025宗地,佳华领悦广场,恒大城一期、二期,怡瑞达云秀府,玺悦台,东关郡府,把戏年旭辉好光阴家园,润樾山花园,万樾府等。
图片
图片
光亮区
光亮区存量宅地共有57个,此中公明街道3个,凤凰街道12个,光亮街道22个,马田街道4个,玉塘街道4个,新湖街道12个。
此中,商品房用地39个,公租房用地13个,共有产权房用地3个,其他用地2个。
光亮区已开工,即将入市的项目有:宏发万悦山名庭,安居萃云阁,绿地新城市公馆,兆邦基端慧苑,华润置地公园九里花园,金融街华发融御花园,百晟上府,勤诚达正大城悦园、乐园,金地峰境瑞府,电建洺悦府,中海寰宇时代花园,民轩揽翠台,万科光年四时花园,佳兆业云峰汇花园等。
图片
图片
图片
随时掌握深圳新盘动态,V信搜刮存眷公家号“深房臻选”,参加深圳人的买房交换圈!
大鹏新区
大鹏新区存量宅地共有23个,此中大鹏街道8个,葵涌街道12个,南澳街道3个。
此中商品房用地8个,公租房用地7个,共有产权房用地1个,其他用地7个。
大鹏新区已开工,即将入市的项目有:鹏海湾公馆,天海城花园,家全国花园,东山海滨名苑一期,诺德阅海花园,东渔华府,满京华云曦花园,卓越蔚蓝铂樾府等。
图片
图片
阅读我的更多文章
